无障碍浏览
长者模式
本站IPV6
盈江县住房和城乡建设局
返回栏目首页
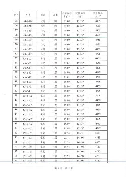
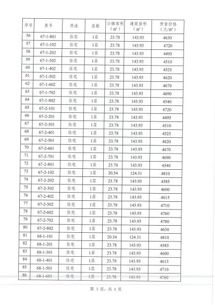
盈江县住房和城乡建设局关于“御江山”项目62、63、67、68幢商品房预售许可的通告
浏览量:2583 作者: 日期:2022/4/18
文章来源:
上一篇:
盈江县公租房轮候排队情况2023年6月公示表
下一篇:
(没有下一篇文章)
主办单位:盈江县人民政府
滇公网安备 53310002000505号
滇ICP备13004035号-1
电话:0692-8180337 政府网站标识码:5331230001 邮箱:yjxzjj2023@163.com 地址:盈江县平原镇贺相路2号 邮编:679300