无障碍浏览
长者模式
本站IPV6
盈江县住房和城乡建设局
返回栏目首页
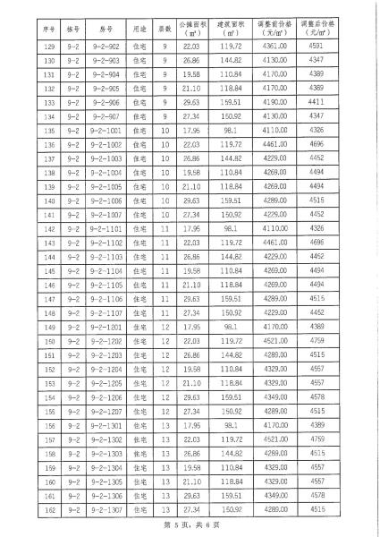
关于“金相首岸”项目8#、9-2#高层住宅楼销售价格调整的公示
浏览量:1090 作者: 日期:2021/12/21
文章来源:
上一篇:
盈江县住房和城乡建设局2021年第四季度房地产行业监督提醒通告
下一篇:
2021年租赁补贴拟增补第一批发放名单
主办单位:盈江县人民政府
滇公网安备 53310002000505号
滇ICP备13004035号-1
电话:0692-8180337 政府网站标识码:5331230001 邮箱:yjxzjj2023@163.com 地址:盈江县平原镇贺相路2号 邮编:679300