盈江县住房和城乡建设局

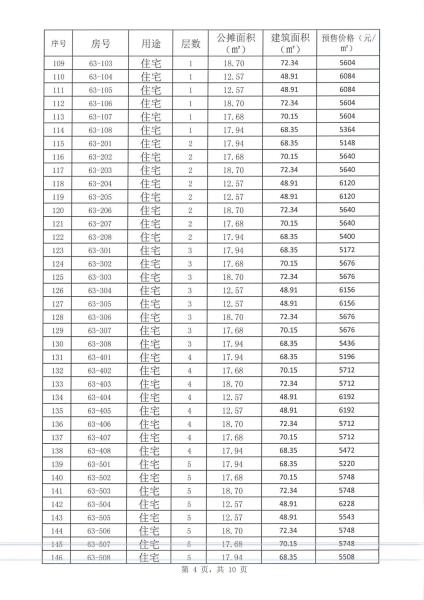
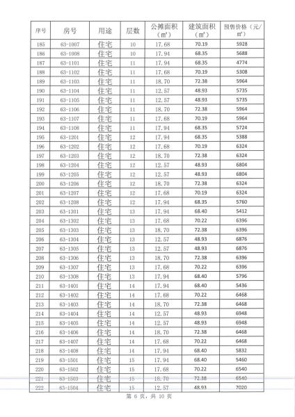
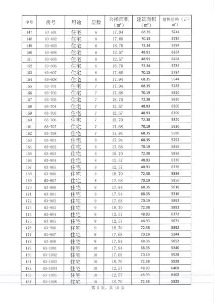
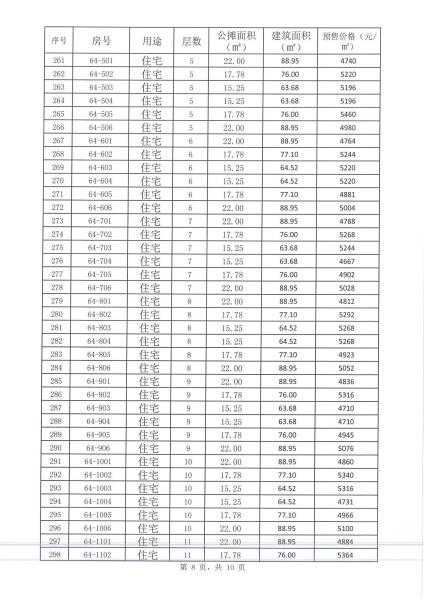
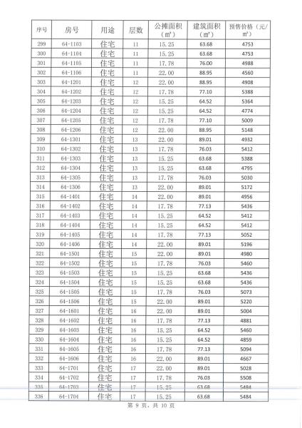
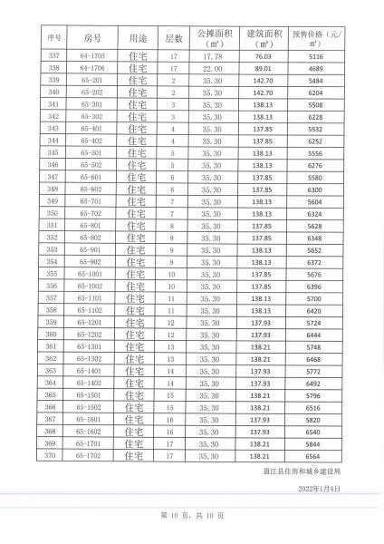
盈江县住房和城乡建设局关于"德宏大盈江万塔小镇一期商业街、田园水乡A区"项目低层住宅1-20#楼、高层63、64、65#楼商品房预售许可的通告

浏览量:797    作者: 日期:2022/1/4
MX-M3158N_20220104_160858_00MX-M3158N_20220104_160858_01MX-M3158N_20220104_160858_02MX-M3158N_20220104_160858_03MX-M3158N_20220104_160858_04MX-M3158N_20220104_160858_05MX-M3158N_20220104_160858_06MX-M3158N_20220104_160858_07MX-M3158N_20220104_160858_08MX-M3158N_20220104_160858_09
文章来源: